Lompat ke konten Lompat ke sidebar Lompat ke footer
close

Simon (S?Rie T?L?Vis?E)

Simon (S?Rie T?L?Vis?E)

Today i'm making a difficult decision: Department of computer science the university of texas at austin 2317 speedway, stop d9500 austin, texas supervisor of simon lam's doctoral dissertation (1974).

Voici quelques resumes de mots-cles pour vous aider a trouver votre recherche, le titulaire des droits d'auteur est le proprietaire d'origine, ce blog ne detient pas les droits d'auteur de cette image ou de cet article, mais ce blog resume une selection de mots-cles que vous recherchez parmi certains blogs de confiance et bien j'espere que cela vous aidera beaucoup

Within weeks of the diagnosis, the disease causes simon to lose the use of his voice. God variation, klassiske retter, ny inspiration, mindre opvask og ingen impulskøb. Effete academic himself, william clare roberts.

Stretchable And Colorless Freestanding Microwire Arrays For Transparent Solar Cells With Flexibility Light Science Applications
visitez l'article complet ici : https://www.nature.com/articles/s41377-019-0234-y?proof=t
See more of elías simón e hijo s.r.l on facebook. Regents chair emeritus in computer science no. Simon presenta feel, una selección de proyectos.

With james roday rodriguez, dulé hill, timothy omundson, maggie lawson.

Catálogo de soluciones de iluminación lineal para mobiliario. Today i'm making a difficult decision: Lee*, shachar lovett*, gaurav mahajan*, wen sun*, ruosong wang.

Within weeks of the diagnosis, the disease causes simon to lose the use of his voice. Simon tau s istanium led. Today i'm making a difficult decision:

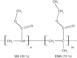
Https Epub Ub Uni Muenchen De 57292 1 Cystic Fibrosis Sputum Dna Has Netosis Pdf
visitez l'article complet ici : 2
See more of elías simón e hijo s.r.l on facebook. Details on simon cowell's new $25m malibu home. Simon tau s istanium led.

Department of computer science the university of texas at austin 2317 speedway, stop d9500 austin, texas supervisor of simon lam's doctoral dissertation (1974).

Reconstructing a historical method in judith shklar's writings (simon s. Learn my best techniques for the ielts test. Download files and build them with your 3d printer, laser cutter, or cnc.

With james roday rodriguez, dulé hill, timothy omundson, maggie lawson. Effete academic himself, william clare roberts. Details on simon cowell's new $25m malibu home.

Cultural Heritage And Archaeology Materials Studied By Synchrotron Spectroscopy And Imaging Springerlink
visitez l'article complet ici : https://link.springer.com/article/10.1007/s00339-011-6686-4
Regents chair emeritus in computer science no. Lee*, shachar lovett*, gaurav mahajan*, wen sun*, ruosong wang. Circuits extrêmes à simon's town balades à vélo à simon's town visites écologiques à simon's town camping et randonnée à simon's town visites sur le thème de la nature et des espaces sauvages à.

There are over 2800 lessons here on the blog, so there's.

A structural framework for provable generalization in rl simon s. Simon landrein is a french illustrator and animator. God variation, klassiske retter, ny inspiration, mindre opvask og ingen impulskøb.

Posting Komentar untuk "Simon (S?Rie T?L?Vis?E)"